spla
spla copied to clipboard
An open-source generalized sparse linear algebra library with vendor-agnostic GPUs accelerated computations
spla is an open-source generalized sparse linear algebra framework for mathematical computations with GPUs acceleration. It provides linear algebra primitives, such as matrices, vectors and scalars, supports wide variety of operations. It gives an ability to customize underlying values types treatment and parametrise operations using built-in or custom user-defined functions.
- Website: SparseLinearAlgebra.github.io/pyspla
- Package page: pypi.org/project/pyspla
- Package page (test): test.pypi.org/project/pyspla
- Source code: github.com/SparseLinearAlgebra/spla
- Contributing: github.com/SparseLinearAlgebra/spla/CONTRIBUTING.md
- Development: github.com/SparseLinearAlgebra/spla/DEVELOPMENT.md
- Examples: github.com/SparseLinearAlgebra/spla/EXAMPLES.md
- C/C++ API reference: SparseLinearAlgebra.github.io/spla/docs-cpp
- Bug report: github.com/SparseLinearAlgebra/spla/issues
Note: project under heavy development! Not ready for usage.
Installation
Install the release version of the package from PyPI repository for Windows, Linux and MacOS:
$ pip install pyspla
Install the latest test version of the package from Test PyPI repository for Windows, Linux and MacOS:
$ pip install -i https://test.pypi.org/simple/ pyspla
Delete package if no more required:
$ pip uninstall pyspla
Example of usage
This example demonstrates basic library primitives usage and shows how to implement simple breadth-first search
algorithm using spla primitives in a few lines of code and run it on your GPU using OpenCL backend for acceleration.
from pyspla import *
def bfs(s: int, A: Matrix):
v = Vector(A.n_rows, INT) # to store depths
front = Vector.from_lists([s], [1], A.n_rows, INT) # front of new vertices to study
front_size = 1 # current front size
depth = Scalar(INT, 0) # depth of search
count = 0 # num of reached vertices
while front_size > 0: # while have something to study
depth += 1
count += front_size
v.assign(front, depth, op_assign=INT.SECOND, op_select=INT.NQZERO) # assign depths
front = front.vxm(v, A, op_mult=INT.LAND, op_add=INT.LOR, op_select=INT.EQZERO) # do traversal
front_size = front.reduce(op_reduce=INT.PLUS).get() # update front count to end algorithm
return v, count, depth.get()
Create an adjacency matrix for a simple graph containing 4 vertices and 5 edges.
I = [0, 1, 2, 2, 3]
J = [1, 2, 0, 3, 2]
V = [1, 1, 1, 1, 1]
A = Matrix.from_lists(I, J, V, shape=(4, 4), dtype=INT)
Run bfs algorithm starting from 0-vertex with the graph adjacency matrix created earlier. None, that spla will
automatically select GPU-based acceleration backed for computations.
v, c, d = bfs(0, A)
Performance
Spla shows greate performance comparing to Nvidia CUDA based optimized GraphBLAST library, processing large graphs
in extreme cases counting 1 BILLION edges with speed and without memory issues. Also, spla shows outstanding performance
in Page-Rank algorithms, outperforming low-level Nvidia CUDA highly-optimized Gunrock library. Spla shows scalability
on GPUs on Intel, Nvidia and AMD with acceptable performance. Spla can be run even on integrated GPUs. Here you can
get good speedup, what is much faster than scipy or networkx.
More details with performance study given down bellow.
Comparison on a Nvidia GPU
![]() |
|---|
| Description: Relative speedup of GraphBLAST, Gunrock and Spla compared to a LaGraph (SuiteSparse) used a baseline. Logarithmic scale is used. |
Configuration: Ubuntu 20.04, 3.40Hz Intel Core i7-6700 4-core CPU, DDR4 64Gb RAM, Nvidia GeForce GTX 1070 dedicated GPU with 8Gb on-board VRAM.
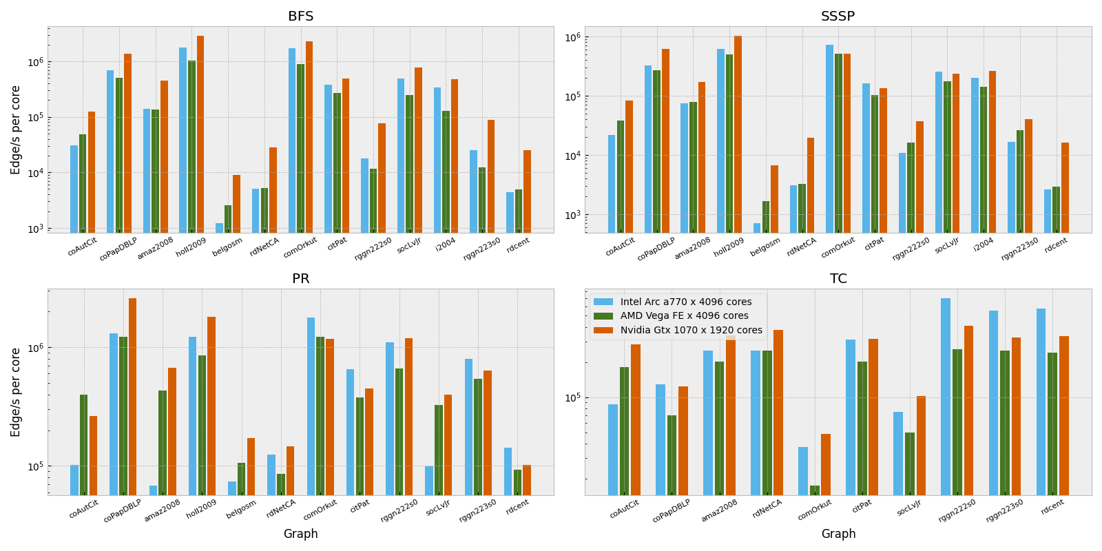
Scalability on Intel, Amd and Nvidia GPUs
![]() |
|---|
| Description: Throughput of Spla library shown as a number of processed edges/s per single GPU core. Logarithmic scale is used. |
Configuration: Nvidia GeForce GTX 1070 dedicated GPU with 8Gb on-board VRAM, Intel Arc A770 flux dedicated GPU with 8GB on-board VRAM and or AMD Radeon Vega Frontier Edition dedicated GPU with 16GB on-board VRAM.
Comparison running on integrated Intel and Amd GPUs
![]() |
|---|
| Description: Relative speedup of Spla compared to a LaGraph (SuiteSparse) used a baseline running on a single CPU device with integrated GPU. |
Configuration: Ubuntu 20.04, 3.40Hz Intel Core i7-6700 4-core CPU, DDR4 64Gb RAM, Intel HD Graphics 530 integrated GPU and Ubuntu 22.04, 4.70Hz AMD Ryzen 9 7900x 12-core CPU, DDR4 128 GB RAM, AMD GFX1036 integrated GPU.
Dataset
| Name | Vertices | Edges | Avg Deg | Sd Deg | Max Deg | Link |
|---|---|---|---|---|---|---|
| coAuthorsCiteseer | 227.3K | 1.6M | 7.2 | 10.6 | 1372.0 | link |
| coPapersDBLP | 540.5K | 30.5M | 56.4 | 66.2 | 3299.0 | link |
| amazon-2008 | 735.3K | 7.0M | 9.6 | 7.6 | 1077.0 | link |
| hollywood-2009 | 1.1M | 112.8M | 98.9 | 271.9 | 11467.0 | link |
| belgium_osm | 1.4M | 3.1M | 2.2 | 0.5 | 10.0 | link |
| roadNet-CA | 2.0M | 5.5M | 2.8 | 1.0 | 12.0 | link |
| com-Orkut | 3.1M | 234.4M | 76.3 | 154.8 | 33313.0 | link |
| cit-Patents | 3.8M | 33.0M | 8.8 | 10.5 | 793.0 | link |
| rgg_n_2_22_s0 | 4.2M | 60.7M | 14.5 | 3.8 | 36.0 | link |
| soc-LiveJournal | 4.8M | 85.7M | 17.7 | 52.0 | 20333.0 | link |
| indochina-2004 | 7.4M | 302.0M | 40.7 | 329.6 | 256425.0 | link |
| rgg_n_2_23_s0 | 8.4M | 127.0M | 15.1 | 3.9 | 40.0 | link |
| road_central | 14.1M | 33.9M | 2.4 | 0.9 | 8.0 | link |
Building from sources
Prerequisites
- Common:
- Git (to get source code)
- CMake (the latest version)
- Ninja (as build files generator)
- Python 3.7+
- Windows 10:
- Microsoft Visual C++ Compiler (MSVC) with C++ 17 support
- x64 Native Tools Command Prompt for VS
- Ubuntu 20.04:
- GNU C++ Compiler with C++ 17 support
- MaсOS Catalina 10.15:
- Clang Compiler with C++ 17 support
Get source code
The following code snippet downloads project source code repository, and enters project root folder. Must be executed from the folder where you want to locate project.
$ git clone https://github.com/SparseLinearAlgebra/spla.git
$ cd spla
Configure and run build
Attention! On Windows platform building commands must be executed in
x64 Native Tools Command Prompt for VS.
The following code snippet runs build.py script, which allows configuring cmake and running of actual build with
selected options. You can specify build directory, build type, number of system threads for build, enable or disable
optionally building of tests and example applications. Must be executed from project root folder.
$ python ./build.py --build-dir=build --build-type=Release --nt=4 --tests=YES --examples=YES
On macOS, you can optionally specify target binaries architecture to build. Pass option --arch
with x86_64 or arm64 respectively. By default, build falls back to CMAKE_SYSTEM_PROCESSOR specified architecture.
See example bellow, replace <arch> with desired architecture for your build. Must be executed from project root
folder.
$ python ./build.py --build-dir=build --build-type=Release --nt=4 --arch=<arch>
Run unit-tests
The following code snippet executed python script, which allows to run all native C++ library unit-tests, located in
build directory, specified in --build-dir option. Must be executed from project root folder.
$ python ./run_tests.py --build-dir=build
Contributors
- Egor Orachyov (Github: @EgorOrachyov)
- Semyon Grigorev (Github: @gsvgit)
Citation
@online{spla,
author = {Orachyov, Egor and Grigorev, Semyon},
title = {spla: An open-source generalized sparse linear algebra framework for GPU computations},
year = 2022,
url = {https://github.com/SparseLinearAlgebra/spla},
note = {Version 1.0.0}
}
Project structure
| Entry | Description |
|---|---|
📁 .github |
CI/CD scripts and GitHub related files |
📁 deps |
Third-party project dependencies, stored as submodules |
📁 docs |
Documentations and digital stuff |
📁 examples |
Example applications of library C/C++ usage |
📁 include |
Library public C/C++ header files |
📁 src |
Library private compiled source directory |
📁 tests |
Library C/C++ unit-tests |
📁 python |
Python package bindings for library API |
📄 CMakeLists.txt |
CMake library configuration, add as sub directory to your project |
📄 build.py |
Script to build library sources, tests and examples |
📄 bump_version.py |
Script to increment or update version of package before release |
📄 run_tests.py |
Script to run compiled library unit tests |
📄 generate.py |
Script to re-generate .hpp bindings from .cl source files |
License
This project licensed under MIT License. License text can be found in the license file.


